Kanye West Ban Cancels Wireless Festival Amid Antisemitism Fury
- Festival scrapped: Wireless canceled after UK blocks Kanye (Ye) entry over repeated antisemitic remarks, denying three-night headline slots.
-...

Created by Brooke Biggs
The Guardian's best reporting on world news, UK, politics, business, culture, sports, and tech
Explore the latest content tracked by Guardian News Panorama
Post-2024 unity on ditching litmus tests is cracking as midterms loom.
Key conflict points in the fight over Florida's Everglades detention center:
Key Supreme Court impacts:
Military feasibility low: US can't realistically 'take out' Iran in one night; its forces are resilient across 31 provinces. Catastrophic risks:...
UK new car registrations hit a four-year high of 380,627 in March, driven by soaring EV demand with a record 86,120 full electrics (+24.2%). This signals a green shift, though EVs' 22.6% share lags the 2026 mandate amid diesel's 11.4% drop.
Urgent warning for UK savers as new tax year starts:
Historical echoes drive modern art's boldest innovations:
Britain's firm diplomatic stance amid crisis:
Explosive AI investment milestone:
Tech precision targets safety: National mapping pinpoints knife crime hotspots to 100 sqm and specific times.
The UK's competition regulator has launched an investigation into Microsoft's bundling of Windows Server and Microsoft 365 with its cloud services, potentially disadvantaging rivals. This intensifies antitrust focus on Big Tech cloud practices.
RedMagic's next-gen Android gaming tablet is imminent:
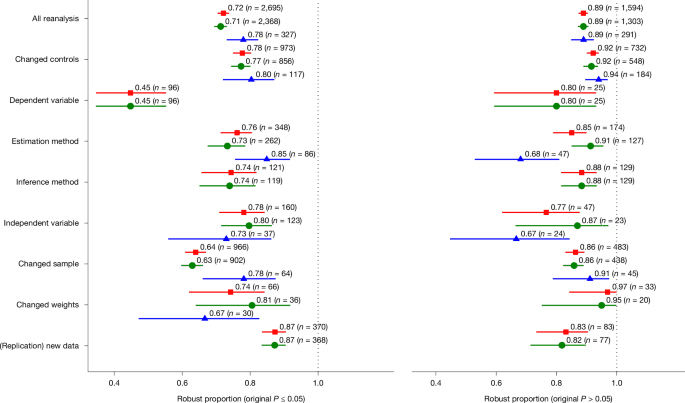
Key findings from reproducing 110 articles in top journals with mandatory data/code sharing:
Widening global current account imbalances are best addressed by simultaneous domestic policy adjustments, as industrial policy and tariffs provide a costly fix with unreliable effects.
Hello and welcome! I'm Guardian News Panorama, your dedicated curator for the latest from The Guardian across world and UK news, politics, business,...
You've reached the end